Make small-and medium-batch PCB & PCBA production simpler and more reliable!

Learn more

Global high-mix volume high-speed PCBA manufacturer

Help Center  
Sending a message
Open Hours:9:00-21:00 (GMT+8)
Service hotlines

9:00 -18:00, Mon. - Fri. (GMT+8)

9:00 -12:00, Sat. (GMT+8)

(Except Chinese public holidays)

X

Microstrips in High-Frequency PCB Design

3668

As electronic devices advance in speed and complexity, the design of high-frequency printed circuit boards (PCBs) has become very important. In the design of various signal transmission lines, microstrip has become one of the most commonly used choices because of its simple structure and good performance.


In this blog, let’s explore the main information about PCB microstrips:


Structure of a microstrip line


Key characteristics of microstrips


Applications of microstrips


Microstrip vs. stripline


In short, if you want to design high-speed, efficient circuit boards, understanding the characteristics and application scenarios of microstrip lines is key.


What is a Microstrip and its Structure


The microstrip line is an electrical transmission line commonly used in PCBs for transmitting high-frequency or RF signals. Its structure is very simple, mainly composed of three layers:


pcb microstrip


1. At the top, there is a slender conductive metal line, usually made of copper, which is the "highway" for signal transmission;


2. The middle layer is a dielectric material (such as FR-4 or other high-frequency materials), providing insulation;


3. At the bottom, it is a ground plane that provides reference potential and return path.


The structure is like a “sandwich,” with the signal flowing through the top trace, while the electromagnetic field partially passes through the dielectric layer below and partially spreads into the air. This means the electric field doesn’t propagate entirely within the dielectric. It is a hybrid transmission line, transmitting "half in the air, half in the dielectric."


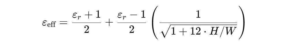
For this reason, the signal propagation speed and characteristics of a microstrip are influenced by both media — air and the dielectric layer. This mixed propagation means we can't describe its electrical properties using a single dielectric constant. Instead, we use an effective dielectric constant to account for the combined effects.


The value of this effective dielectric constant directly affects the microstrip impedance, which in turn determines whether the signal can be transmitted reliably. Therefore, during the design process, engineers must perform microstrip impedance calculation using formulas or simulation software to ensure proper impedance matching and avoid signal reflection or distortion.


pcb microstrip


•  εr: Dielectric constant of the substrate material (e.g., FR-4 ≈ 4.5)


•  H: Height (thickness) of the dielectric between the trace and the ground plane


•  W: Width of the microstrip trace


The geometry of the line—conductor width, dielectric thickness, and substrate material—determines the microstrip impedance. Calculating this impedance correctly is essential to prevent signal loss and ensure proper signal integrity. Various online tools can assist with microstrip impedance calculation, taking into account the effective dielectric constant.


Key Advantages of Microstrip


Microstrips are widely used in high-frequency circuit design, mainly because they have many advantages in terms of manufacturing, structure, cost and application flexibility.


•  Simple fabrication:


Compared with other complex transmission lines, the microstrip only requires a signal line on the top layer of the PCB and a continuous ground plane on the bottom layer. The middle is isolated by a layer of dielectric material. The entire structure does not require multilayer stacking or other special packaging processes, which greatly simplifies the PCB production process and is suitable for mass production.


•  Compact size:


Microstrips occupy only one signal layer and one ground layer of the PCB, it saves more vertical space than embedded transmission lines such as striplines. This is particularly important in the context of the miniaturization of modern devices. Especially in applications with extremely high space requirements such as mobile phones, satellite modules, and on-board systems, microstrips become the ideal choice.


•  Low cost:


Due to its fewer layers, simple structure, and low processing equipment requirements, the overall manufacturing cost of a PCB microstrip is much lower than that of multilayer packaging or embedded structures. This makes it particularly suitable for cost-sensitive products such as consumer electronics, IoT devices, and mid - and low-frequency RF modules.


•  Supports complex circuits:


The microstrip can not only transmit high-frequency signals, but also flexibly build common RF functional modules such as power dividers, couplers and microstrip filter. Its ability to implement these functions in a flat structure makes circuit designs more compact and easier to lay out.


Therefore, many engineers tend to choose the microstrip, especially when there is no need for extremely high isolation or low EMI. Its advantages of convenient manufacturing, flexible layout and controllable cost make it a more cost-effective solution in practical engineering.


pcb microstrip


Limitations of Microstrip


Although a microstrip has many advantages, it also has some limitations:


•  Radiation losses: Signals are partially exposed to air, increasing EMI.


•  Signal integrity: Sensitive to changes in substrate and temperature.


•  Lower isolation compared to stripline designs.


Applications of Microstrip


Microstrip lines are used across a wide range of RF and microwave applications, including:


•  Microstrip filters for signal conditioning


•  Patch antennas for wireless communication


•  Impedance-matched transmission lines


•  Radar and satellite systems


Microstrip vs. Stripline: What's the Difference?


A stripline is a commonly used routing structure in multilayer PCBs. Unlike a microstrip, a stripline places the signal trace between two ground planes, fully surrounded by a dielectric material, to form a symmetrical structure. This design helps reduce interference and noise, improving signal integrity—making it especially suitable for high-speed or high-frequency signal transmission.


microstrip vs stripline


The microstrip vs stripline comparison often arises during PCB design. Let’s compare the two in a table:


Feature

Microstrip

Stripline

Signal Layer

Top

Embedded between two ground planes

Field Propagation

Air + Dielectric

Entirely in Dielectric

Effective Dielectric Constant

Lower (Hybrid field)

Higher (Fully dielectric)

EMI Susceptibility

Higher

Lower

Fabrication

Easier

More Complex

Cost

Lower

Higher

Application

High-frequency, cost-sensitive

High-precision, high-isolation



Conclusion


In high-frequency PCB design, the microstrip plays a crucial role due to its simple structure, versatile applications, and controllable impedance. While there's no definitive answer in the microstrip vs stripline debate, PCB microstrip offers a practical balance between performance and manufacturability, making it a preferred choice in many applications.

About Author

Harrison Smith

Harrison has accumulated extensive experience in the R&D and manufacturing of electronic products, focusing on PCB assembly and reliability optimization for consumer electronics, telecommunications equipment, and automotive electronics. He has led several multinational projects and written multiple technical articles on electronic product assembly processes, providing professional technical support and industry trend analysis to clients.

Assemble 20 PCBs for $0

Assembly Enquiry

Upload File

Instant Quote

x
Upload File

Phone contact

+86-18823323902

In addition, we've prepared a Help Center. We recommend checking it before reaching out, as your question and its answer may already be clearly explained there.

Wechat Support

In addition, we've prepared a Help Center. We recommend checking it before reaching out, as your question and its answer may already be clearly explained there.

WhatsApp Support

In addition, we've prepared a Help Center. We recommend checking it before reaching out, as your question and its answer may already be clearly explained there.